

X射線熒光光譜儀測定鉻礦中的主次成分-華普通用
X射線熒光光譜儀
測定鉻礦中的主次成分
鉻作為一種重要的戰略資源,廣泛應用于冶金工業、耐火材料及化工工業上。鉻鐵合金作為冶金工業不銹鋼生產的重要原料,可大大增強不銹鋼的硬度和抗腐蝕性。
鉻礦的主次成分分析主要采用滴定法、分光光度法、原子吸收光譜法、等離子體原子發射光譜法,存在樣品前處理操作復雜、耗時、分析步驟繁瑣等不足。
X射線熒光光譜(XRF)法具有多元素同時測定等優點,方法快速、準確,被廣泛應用于鉻礦檢驗。
本文介紹采用日本理學波長色散型X射線熒光光譜儀和熔融制樣方法分析鉻礦中主次成分。
1.實驗儀器與實驗試劑
日本理學波長色散型X射線熒光光譜儀,4KW
全自動電熱熔樣機
鉑黃坩堝(95%鉑金+5%黃金)
氧化劑-脫模劑混合溶液(500g/L NaNO3溶液-70g/L LiBR溶液)分析純
混合熔劑(Li2B4O7-LiBO2=67:33),分析純
NiO,光譜純
2. 標準樣品選擇
采用國家標準物質↓
GBW07818~GBW07821,
鉻鐵礦國家標準樣品↓
GSBD33001~GSBD33001.5為校準樣品。
選取國家標準物質↓
GBW07818~GBW07821,
有色行業標準物質↓
YSBC19721-2011,
以及NiO試劑按不同比例混合制備6個合成校準物質。
共使用16個校準樣品,其中GBW07820標準物質校準樣不參加曲線回歸,留做對比試驗。

各組分含量范圍
3. 實驗步驟
在鉑黃坩堝中加入10.00g混合熔劑余0.50g試樣,充分混合后,加入4mL氧化劑-脫模劑混合溶液,烘干后,在熔樣機中以700℃預氧化后升溫至1100℃熔融制成玻璃樣片,于熒光光譜儀上進行測定。
4. 標準曲線
采用經驗系數法和理論α系數法相結合的方法進行譜線重疊、基體效應校正。
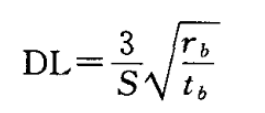
5. 檢出限
根據公式:

S為靈敏度(kcps/%),rb為背景計數率(kcps),tb為背景測定時間(s),可得方法檢出限。

各組分的測量時間和檢出限
6. 方法精密度
按上述實驗步驟熔融同一個鉻礦制備成12個樣品進行測定,統計測量結果,計算各成分的相對標準偏差如下:

精密度試驗
7. 樣品分析
按照上述步驟熔融制備GBW07820標準物質,采用標準曲線進行測試,結果如下:

分析結果對照





